おかげさまで開設25周年APP.PROPERTYHOUSE-EG.COM 創業祭

APP.PROPERTYHOUSE-EG.COM

詳しくはこちら
マイストア マイストア 変更
  • 即日配送
  • 広告
  • 取置可能
  • 店頭受取

HOT ! その他 12345 Sustainable production of levulinic acid and its derivatives for

※APP.PROPERTYHOUSE-EG.COM 限定モデル
YouTuberの皆様に商品の使い心地などをご紹介いただいております!
紹介動画はこちら

ネット販売
価格(税込)

17400

  • コメリカード番号登録、コメリカードでお支払いで
    コメリポイント : 7ポイント獲得

コメリポイントについて

購入個数を減らす
購入個数を増やす

お店で受け取る お店で受け取る
(送料無料)

受け取り店舗:

お店を選ぶ

近くの店舗を確認する

納期目安:

13時までに注文→17時までにご用意

17時までに注文→翌朝までにご用意

受け取り方法・送料について

カートに入れる

配送する 配送する

納期目安:

2025.12.19 21:57頃のお届け予定です。

決済方法が、クレジット、代金引換の場合に限ります。その他の決済方法の場合はこちらをご確認ください。

※土・日・祝日の注文の場合や在庫状況によって、商品のお届けにお時間をいただく場合がございます。

即日出荷条件について

受け取り方法・送料について

カートに入れる

欲しいものリストに追加

欲しいものリストに追加されました

その他 12345 Sustainable production of levulinic acid and its derivatives forの詳細情報

Sustainable production of levulinic acid and its derivatives for。10315_alt1.jpg?v=1698358268。Topological Insulator Bi2Te3 Anode for Aqueous Aluminum‐Ion。Mathematics - Ii A Important Questions: Z Cos Sin | PDF | Zero Of。。10/1までお取り置き
  • Sustainable production of levulinic acid and its derivatives for
  • 10315_alt1.jpg?v=1698358268
  • Topological Insulator Bi2Te3 Anode for Aqueous Aluminum‐Ion
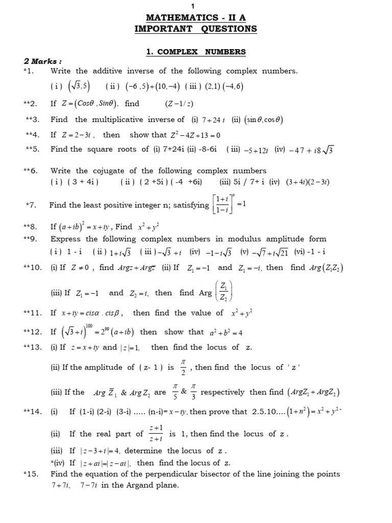
  • Mathematics - Ii A Important Questions: Z Cos Sin | PDF | Zero Of

同じカテゴリの 商品を探す

ベストセラーランキングです

このカテゴリをもっと見る

この商品を見た人はこんな商品も見ています

近くの売り場の商品

このカテゴリをもっと見る

カスタマーレビュー

オススメ度  4.7点

現在、6827件のレビューが投稿されています。